urfatabip@urfatabip.org.tr
0(414) 312 29 69
Pratisyen Hekimlik
Aile Hekimliği
Özel Hekimlik
İşyeri Hekimliği
Asistan Hekimlik
Emekli Hekimler
Menü
ANASAYFA
KURUMSAL
Kurullar
Yönetim Kurulu
Onur Kurulu
Denetleme Kurulu
TTB Delegasyon
Komisyonlar
Raporlar
Çalışma Raporları
Mali Raporlar
Haberler
Oda Amblemi
BÜROLAR
Üyelik İşleri Bürosu
HUKUK
Mevzuat
Hukuk Haberleri
YAYINLAR
Toplum ve Hekim
Tıp Dünyası
STED
MSG
Raporlar
Çalışma Raporları
Mali Raporlar
ÜYELİK İŞLEMLERİ
Üyelik İşleri Bürosu
Nasıl Üye Olabilirim?
Nasıl Üye Olabilirim? [Yabancı Uyruklu]
Nakil işlemi için neler gerekiyor?
Kimlik Kartımı Değiştirebilirmiyim?
Üyelik Belgesini Nasıl Alabilirim?
Üye Kayıt Formu [PDF]
TTB 2026 Yılı Referans Ücreti
İşyeri Hekimliği 2026 Yılı Taban Fiyatı
İletişim
Muhasebe İşlemleri
2026 Yılı Aidatı Ne Kadar?
Aidat Borcumu Nasıl Öğrenebilirim?
Kredi Kartı Talimatı Formu
Banka Bilgileri Nelerdir?
Vergi Dairesi Bilgileri?
İletişim
Medya
Facebook
Twitter
Instagram
İLETİŞİM
ARA
Ara
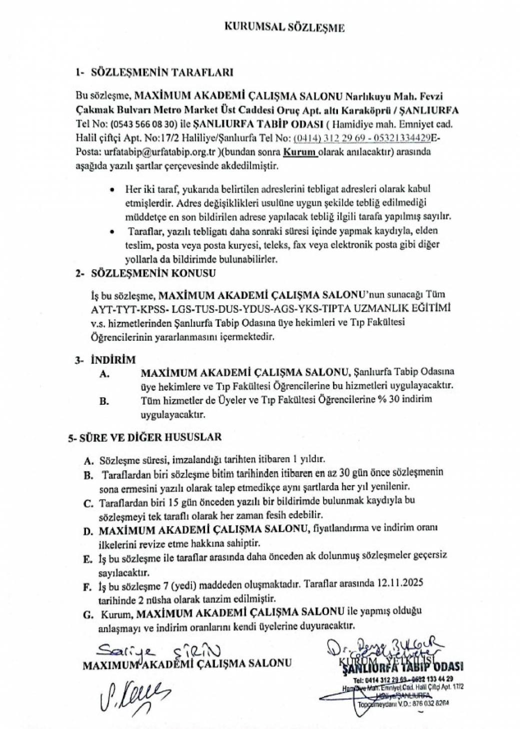
Şanlıurfa Tabip Odası Olarak Maximum Akademi Çalışma Salonu ile Üyelerimiz İçin %30 İndirim Protokolü İmzalanmıştır.
13.11.2025
339 Okunma
A+
A-
339
Okunma
oku +
Şanlıurfa Tabip Odası Olarak Maximum Akademi Çalışma Salonu ile Üyelerimiz İçin %30 İndirim Protokolü İmzalanmıştır.
oku +
Şanlıurfa Tabip Odası Olarak Tusdata Tus Hazırlık Merkezi-Klinisyen Tıp Kitapevleri ile Üyelerimiz İçin Liste Fiyatı Üzerinden %40 İndirim Protokolü İmzalanmıştır.
oku +
Şanlıurfa Tabip Odası Olarak Gloria Jean's Coffes ile Üyelerimiz İçin %50 İndirim Protokolü İmzalanmıştır.
oku +
Şanlıurfa Tabip Odası Olarak Şanlıurfa Mektebim Koleji ile Üyelerimiz İçin İndirim Protokolü İmzalanmıştır.
Ara
ARA